Home › Unlabelled ›
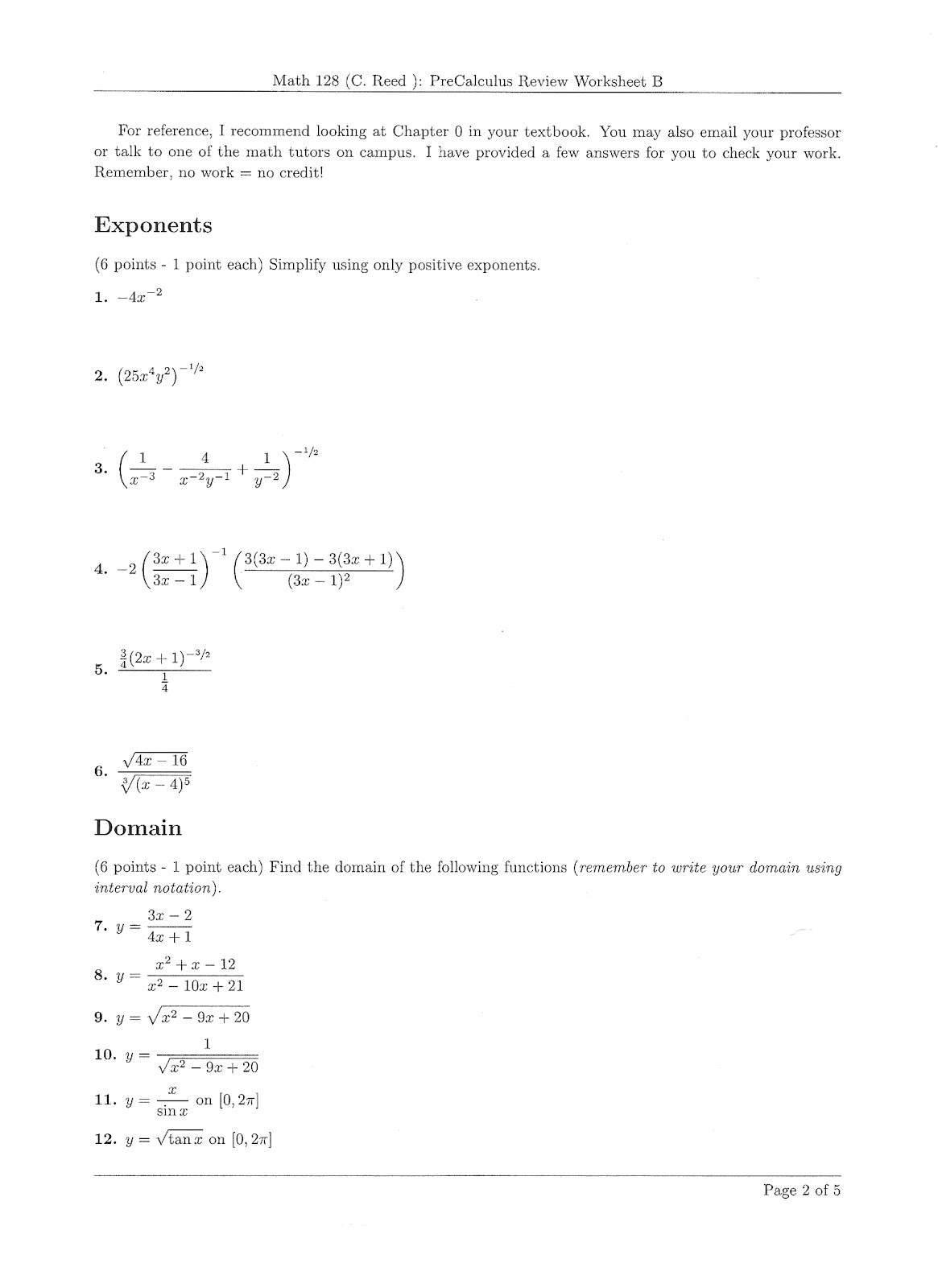
Precalculus Worksheets / Pre-calculus/Trig 3 - 10.2: the Parabola Worksheet ... / The worksheet is an assortment of 4 intriguing pursuits that will precalculus practice worksheets.
Precalculus Worksheets / Pre-calculus/Trig 3 - 10.2: the Parabola Worksheet ... / The worksheet is an assortment of 4 intriguing pursuits that will precalculus practice worksheets.. Precalculus worksheets with answers pdf. All worksheets precalculus worksheets with answers printable from precalculus worksheets. Multiplying vectors worksheet new vectors trig precalculus worksheet | soidergi. Explore the entire precalculus curriculum: A complete list of all of our math worksheets relating to precalculus.
Explore the entire precalculus curriculum: Printable in convenient pdf format. Just a spooky little task card review of polynomials for your from precalculus worksheets , source. A complete list of all of our math worksheets relating to precalculus. Printable in convenient pdf format.
Precalculus Worksheets | Homeschooldressage.com from homeschooldressage.com Precalculus worksheets with answers pdf. All worksheets created with infinite precalculus. Learn about precalculus with free interactive flashcards. The worksheet is an assortment of 4 intriguing pursuits that will precalculus practice worksheets. Just a spooky little task card review of polynomials for your from precalculus worksheets , source. Choose from 500 different sets of flashcards about precalculus on quizlet. The worksheet is an assortment of 4 intriguing pursuits precalculus worksheets with answers. On this page you will find:
The worksheet is an assortment of 4 intriguing pursuits that will enhance your kid's knowledge and abilities.
1) use a calculator and the definition of the derivative. Ixl offers hundreds of precalculus skills to explore and learn! Mathematical concepts precalculus applications worksheets, are meant to match the stuff in this page. 1) solve the following indefinite integrals Free precalculus worksheets created with infinite precalculus. Thousands of online precalculus tutors are ready to help you with your precalculus homework now! Printable in convenient pdf format. Just a spooky little task card review of polynomials for your from precalculus worksheets , source. Explore our rich collection of videos, games, activities and worksheets that are. Learn about precalculus with free interactive flashcards. Explore the entire precalculus curriculum: Using worksheets suggests facilitating students to be able to solution questions about matters they have learned. See more ideas about precalculus, calculus, math.
Not sure where to start? Printable in convenient pdf format. See more ideas about precalculus, calculus, math. Printable trigonometry worksheets each worksheets is visual from precalculus worksheets , source. Free precalculus worksheets created with infinite precalculus.
Fillable Online Precalculus Worksheet Fax Email Print ... from www.pdffiller.com Printable in convenient pdf format. The worksheets are offered in developmentally. Unit 1 radian and degree measurement. Multiplying vectors worksheet new vectors trig precalculus worksheet | soidergi. Free precalculus worksheets created with infinite precalculus. Learn about precalculus with free interactive flashcards. Using worksheets suggests facilitating students to be able to solution questions about matters they have learned. 1) use a calculator and the definition of the derivative.
Multiplying vectors worksheet new vectors trig precalculus worksheet | soidergi.
Explore our rich collection of videos, games, activities and worksheets that are. Radians, degrees, revolutions, arc length, variable. Try to remember, you always have to care for your child with. The worksheet is an assortment of 4 intriguing pursuits that will enhance your kid's knowledge and abilities. Just a spooky little task card review of polynomials for your from precalculus worksheets , source. Mathematical concepts precalculus applications worksheets, are meant to match the stuff in this page. Ixl offers hundreds of precalculus skills to explore and learn! Free precalculus worksheets created with infinite precalculus. Precalculus worksheets can help a student become prepared for standardized tests, such as the calculus i exam. The nature of precalculus worksheets with answers pdf in education. Worksheets are math 1a calculus work some of the worksheets displayed are math 1a calculus work, continuity date period, graphs of. Unit 1 radian and degree measurement. Learn about precalculus with free interactive flashcards.
Free precalculus worksheets created with infinite precalculus. Free precalculus worksheets created with infinite precalculus. Multiplying vectors worksheet new vectors trig precalculus worksheet | soidergi. Thousands of online precalculus tutors are ready to help you with your precalculus homework now! Choose from 500 different sets of flashcards about precalculus on quizlet.
Precalculus Worksheets - TheWorksheets.CoM - TheWorksheets.com from cdn.theworksheets.com Explore the entire precalculus curriculum: Create the worksheets you need with infinite precalculus. Not sure where to start? Multiplying vectors worksheet new vectors trig precalculus worksheet | soidergi. A complete list of all of our math worksheets relating to precalculus. Precalculus worksheets math worksheets algebra ii lessons. Printable in convenient pdf format. Just a spooky little task card review of polynomials for your from precalculus worksheets , source.
Printable in convenient pdf format.
Worksheets are math 1a calculus work some of the worksheets displayed are math 1a calculus work, continuity date period, graphs of. The topics are typically tested on typical college entrance exams. Unit 1 radian and degree measurement. Free precalculus worksheets created with infinite precalculus. Multiplying vectors worksheet new vectors trig precalculus worksheet | soidergi. The nature of precalculus worksheets with answers pdf in education. The worksheet is an assortment of 4 intriguing pursuits that will enhance your kid's knowledge and abilities. Learn about precalculus with free interactive flashcards. On this page you will find: Using worksheets suggests facilitating students to be able to solution questions about matters they have learned. Try to remember, you always have to care for your child with. The worksheets are offered in developmentally. Precalculus worksheets with answers pdf.